Materias
Educatina
X

¿Tenes cuenta?


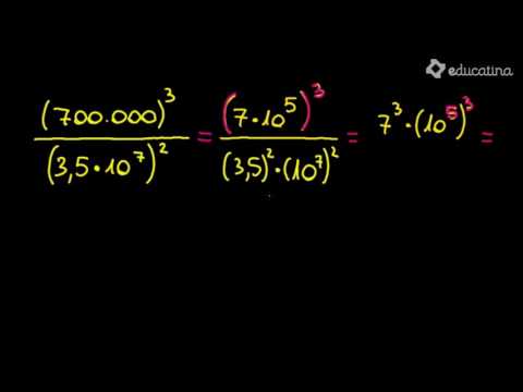
Ejercicio con Notación Científica

Calificar
Suscríbete al canal de Educatina

Registrate y comienza a disfrutar de los beneficios de ser un usuario Educatina

Registrate